Commentary: What the key themes of National Day Rally in last 30 years say about Singapore’s past, present and future

Prime Minister Lee Hsien Loong delivers his National Day Rally speech at ITE College Central on Aug 20, 2023.
Every year, the Prime Minister presents a summary on the key national events and issues for the city-state at the National Day Rally (NDR).
The NDR speech is not just a platform for policy announcements, it is also a barometer of the prevailing public sentiments in Singapore.
NDRs illuminate our past successes, highlight present-day challenges, and outline our collective ambitions for the future.
As Singapore approaches 60 years of independence, these speeches chronicle generational crises and triumphs and provide a hint to the future narrative.
In our endeavour to unpack the evolving story of the city-state, we embarked on an analytical journey to identify and catalogue the key themes of NDRs from 1991 to 2023.
We sifted through the myriad topics that emerged from the annual speech over the last 30 years, segmenting our analysis by every 10 years.
The overarching questions guiding our exploration were: What were the defining challenges of each decade? What united us in our shared aspirations? What were the conundrums that divided us?
To achieve this, we consolidated the English speeches from the past NDRs and leverage on the capabilities of GPT offered by OpenAI.
We discerned the emerging themes spanning three distinct decades: 1991 to 2000, 2001 to 2010, and 2011 to 2023. The results were both revealing and intriguing.
A TAPESTRY OF 10 THEMES
Our analysis distilled the vast expanse of content into 10 distinct themes that resonated throughout the years.
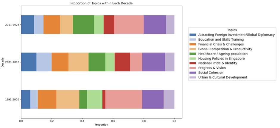
The themes broadly encompass the following topics: Financial Crisis and Challenges, Social Cohesion, Progress and Vision, Education and Skills Training, Housing Policies in Singapore, Healthcare and Ageing population, Global Competition and Productivity, Urban and Cultural Development, Attracting Foreign Investment and Global Diplomacy, and finally National Pride and Identity.
The amount of attention devoted to the 10 thematic coverage in NDRs are segmented by the three decades. The relative, temporal focus can be found in the bar chart. There are three notable features.
First, from the 1990s to the 2000s, “Progress and Vision” stood out in terms of prominence as a dominant theme. It underscores what Singapore aspires to be in the new millennium, a progressive but inclusive state that everyone can feel proud of.
Importantly, it is an inspirational rhetoric to rally Singaporeans to unite as one in the pursuit of a collective goal.
The relative emphasis of the theme however waned from 2001 to 2010, but regained traction from 2011 to 2023 as the city-state sought to transform its economy in the post-2008 global financial crisis.

Second, the topic of “Healthcare and Ageing Population” has seen a steady ascent in importance from 1991 through to 2023.
This reflects the needs of Singapore’s increasingly ageing population and its potential strain on the local healthcare system.
Third, social cohesion remains a steadfast pillar in all NDRs across the decades. The result is not surprising, and it echoes the premium that Singapore places on social stability as a multi-racial and multi-religious country.
DISTINCTIVE FEATURES ACROSS DECADES
To visualise the prominence of these themes across each decade, we generated heatmaps to show a graphical representation of their intensity and frequency.
1991 to 2000


In the initial decade of analysis which ran from 1991 to 2000, there was a notable emphasis on the “Progress and Vision” of the nation.
The emphasis is ostensibly due to Singapore’s first political leadership renewal, when Mr Goh Chok Tong succeeded the late Mr Lee Kuan Yew as the Prime Minister of Singapore in 1990.
The first half of the 1990s was marked by a rapid, double digit economic growth, followed by a recession in the late 1990s due to the Asian Financial Crisis.
2001 to 2011


The emphasis on global competition and productivity was prominent from 2001 to 2005, reflecting the nation's drive to remain competitive in an increasingly internationalised world and a transition to a more service-oriented economy.
The imperative for social cohesion is cemented by the Sept 11 terrorist attack in the United States and the crackdown on the Jemaah Islamiyah terror network in Singapore.
The global war against religious radicalisation has underscored the importance of diversity and tolerance in our multi-racial and multi-faith social fabric.
In essence, economic growth, financial resilience, and social cohesion are inexplicably tied together as topic clusters.
2011 to 2023


The 2011 to 2023 period was particularly evocative. The theme of “Progress and Vision” featured prominently in most of the NDR radar.
This is particularly so in the second half of the 2010s, with the passing of founding Prime Minister Lee Kuan Yew in 2015 as his legacy reignited discussions around the nation’s trajectory and aspirations.
In the last three-odd years, the Covid-19 pandemic has galvanised the nation. This unprecedented turmoil in public health has led Singaporeans to “rally around the flag”, as citizens close ranks in the face of adversity.
This global crisis of our generation has led us to zero in on the importance of social cohesion, and to feel proud who we are and our achievement in containing this infectious disease.
Like the impact of terrorism, the impact of the pandemic is interwoven with the economic and experiential aspects of citizenship where the thematic clustering of rally speeches are concerned.
WHAT IS NEXT?
Disruptive events that have profound impact tend to trigger debates in other ancillary topics in the ensuing years.
The Asian Financial Crisis for instance, affected Singapore’s role as a global financial hub and also put a focus on the country’s maintenance of social cohesion in the midst of regional uncertainty.
Similarly, the Sept 11 terrorist attack has long-term implications for our economic growth potential and inter-racial relations.
As PM Lee pointed out in his 2022 NDR speech and reiterated in this year’s speech, Singapore faces multiple challenges in the near-term horizon.
The city-state and the rest of the world face the fallout from a protracted war in Europe, supply chain deglobalisation, and intense regional rivalry between the United States and China.
We expect the geopolitical tensions to influence our national discourse for the next few years even as the international community rally together for peace and stability.
NDRs is a powerful testament of our country's journey in nation building, it offers a summary of the key events and issues for the city-state.
The analysis from the past 30 years suggest that these challenges will be interlocking, where concerns over social cohesion will remain the nexus of it all.
ABOUT THE AUTHORS:
Ms Debby Ling is Senior Consultant for Policy Data Analytics at Kantar Public, a global policy advisor firm. Dr Leong Chan-Hoong is the Head of Policy Development, Evaluation and Data Analytics at the same firm.